티스토리 뷰
문제 설명
당신은 이진트리를 수로 표현하는 것을 좋아합니다.
이진트리를 수로 표현하는 방법은 다음과 같습니다.
- 이진수를 저장할 빈 문자열을 생성합니다.
- 주어진 이진트리에 더미 노드를 추가하여 포화 이진트리로 만듭니다. 루트 노드는 그대로 유지합니다.
- 만들어진 포화 이진트리의 노드들을 가장 왼쪽 노드부터 가장 오른쪽 노드까지, 왼쪽에 있는 순서대로 살펴봅니다. 노드의 높이는 살펴보는 순서에 영향을 끼치지 않습니다.
- 살펴본 노드가 더미 노드라면, 문자열 뒤에 0을 추가합니다. 살펴본 노드가 더미 노드가 아니라면, 문자열 뒤에 1을 추가합니다.
- 문자열에 저장된 이진수를 십진수로 변환합니다.
이진트리에서 리프 노드가 아닌 노드는 자신의 왼쪽 자식이 루트인 서브트리의 노드들보다 오른쪽에 있으며, 자신의 오른쪽 자식이 루트인 서브트리의 노드들보다 왼쪽에 있다고 가정합니다.
다음은 이진트리를 수로 표현하는 예시입니다.
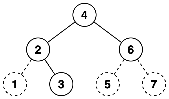
주어진 이진트리는 다음과 같습니다.
주어진 이진트리에 더미노드를 추가하여 포화 이진트리로 만들면 다음과 같습니다. 더미 노드는 점선으로 표시하였고, 노드 안의 수는 살펴보는 순서를 의미합니다.
노드들을 왼쪽에 있는 순서대로 살펴보며 0과 1을 생성한 문자열에 추가하면 "0111010"이 됩니다. 이 이진수를 십진수로 변환하면 58입니다.
당신은 수가 주어졌을때, 하나의 이진트리로 해당 수를 표현할 수 있는지 알고 싶습니다.
이진트리로 만들고 싶은 수를 담은 1차원 정수 배열 numbers가 주어집니다. numbers에 주어진 순서대로 하나의 이진트리로 해당 수를 표현할 수 있다면 1을, 표현할 수 없다면 0을 1차원 정수 배열에 담아 return 하도록 solution 함수를 완성해주세요.
제한사항
- 1 ≤ numbers의 길이 ≤ 10,000
- 1 ≤ numbers의 원소 ≤ 1015
입출력 예
numbers | result |
[7, 42, 5] | [1, 1, 0] |
[63, 111, 95] | [1, 1, 0] |
입출력 예 설명
입출력 예 #1
7은 다음과 같은 이진트리로 표현할 수 있습니다.

42는 다음과 같은 이진트리로 표현할 수 있습니다.

5는 이진트리로 표현할 수 없습니다.
따라서, [1, 0]을 return 하면 됩니다.
입출력 예 #2
63은 다음과 같은 이진트리로 표현할 수 있습니다.

111은 다음과 같은 이진트리로 표현할 수 있습니다.

95는 이진트리로 표현할 수 없습니다.
따라서, [1, 1, 0]을 return 하면 됩니다.
풀이
def is_tree(binary, parent):
# 부모가 더미인데 자식이 존재하는 경우
if parent == '0':
if any (child == '1' for child in binary):
return False
if len(binary) == 1:
return True
center = len(binary) // 2 # 중간 노드가 루트
# 서브 트리 확인
return is_tree(binary[:center],binary[center]) and is_tree(binary[center+1:], binary[center])
def solution(numbers):
answer = []
for number in numbers:
binary = bin(number)[2:] # 앞 0b 제거
# 포화 이진트리 노드 수 = 2**h-1, h: 높이
for i in range(51):
node = 2**i - 1
if node >= len(binary):
break
# 남는 노드 수만큼 앞에 0붙여줌
binary = '0'*(node - len(binary)) + binary
answer.append(1 if is_tree(binary, binary[len(binary) // 2]) else 0)
return answer
'개발자를 위한 한 걸음 > 코딩 문제' 카테고리의 다른 글
파괴되지 않은 건물 - 프로그래머스 lv.3, 누적합 (0) | 2023.02.09 |
---|---|
퇴사 - 백준 #14501, 다이나믹 프로그래밍/브루트포스 알고리즘 (0) | 2023.02.05 |
개인정보 수집 유효기간 - 프로그래머스 lv.1 (0) | 2023.01.31 |
숨바꼭질 - 백준 #1697, 그래프/너비 우선 탐색 (0) | 2023.01.31 |
영역 구하기 - 백준 #2583, 그래프/dfs/bfs (0) | 2023.01.31 |
- Total
- Today
- Yesterday
- 리트코드
- 수학
- 브루트포스 알고리즘
- 카카오
- 문자열
- lv.2
- leetcode
- 실버3
- 시뮬레이션
- 구현
- 코드트리
- 백준
- lv.3
- 깊이 우선 탐색
- 그래프 탐색
- 실버2
- 카카오 코딩테스트
- 코딩테스트
- Python
- 프로그래머스
- 다이나믹 프로그래밍
- 정렬
- 릿코드
- 골드5
- 코딩 테스트
- 그리디 알고리즘
- Simulation
- 그래프 이론
- 백트래킹
- 너비 우선 탐색
일 | 월 | 화 | 수 | 목 | 금 | 토 |
---|---|---|---|---|---|---|
1 | 2 | 3 | 4 | |||
5 | 6 | 7 | 8 | 9 | 10 | 11 |
12 | 13 | 14 | 15 | 16 | 17 | 18 |
19 | 20 | 21 | 22 | 23 | 24 | 25 |
26 | 27 | 28 | 29 | 30 | 31 |